Page 1421 - E-book ระเบียบ_compressed
P. 1421
- 274 -
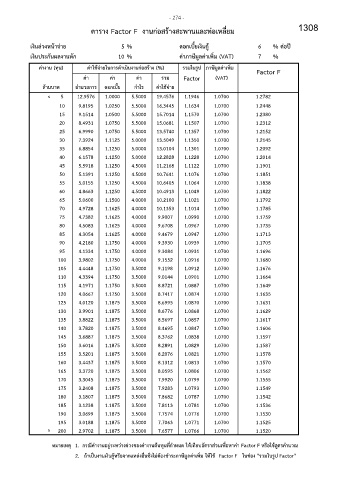
ตาราง Factor F งานก่อสร้างสะพานและท่อเหลี่ยม 1308
เงินล่วงหนาจ่าย 5 % ดอกเบี้ยเงินก ู้ 6 % ต่อปี
้
เงินประกันผลงานหัก 10 % ค่าภาษีมูลค่าเพม (VAT) 7 %
ิ่
ค่างาน (ทุน) ค่าใช้จ่ายในการด าเนินงานก่อสร้าง (%) รวมในรูป ภาษีมูลค่าเพิ่ม Factor F
ค่า ค่า ค่า รวม Factor (VAT)
ล้านบาท อ านวยการ ดอกเบี้ย ก าไร ค่าใช้จ่าย
≤ 5 12.9576 1.0000 5.5000 19.4576 1.1946 1.0700 1.2782
10 9.8195 1.0250 5.5000 16.3445 1.1634 1.0700 1.2448
15 9.1514 1.0500 5.5000 15.7014 1.1570 1.0700 1.2380
20 8.4931 1.0750 5.5000 15.0681 1.1507 1.0700 1.2312
25 6.9990 1.0750 5.5000 13.5740 1.1357 1.0700 1.2152
30 7.3924 1.1125 5.0000 13.5049 1.1350 1.0700 1.2145
35 6.8854 1.1250 5.0000 13.0104 1.1301 1.0700 1.2092
40 6.1578 1.1250 5.0000 12.2828 1.1228 1.0700 1.2014
45 5.5918 1.1250 4.5000 11.2168 1.1122 1.0700 1.1901
50 5.1391 1.1250 4.5000 10.7641 1.1076 1.0700 1.1851
55 5.0155 1.1250 4.5000 10.6405 1.1064 1.0700 1.1838
60 4.8663 1.1250 4.5000 10.4913 1.1049 1.0700 1.1822
65 5.0600 1.1500 4.0000 10.2100 1.1021 1.0700 1.1792
70 4.9728 1.1625 4.0000 10.1353 1.1014 1.0700 1.1785
75 4.7382 1.1625 4.0000 9.9007 1.0990 1.0700 1.1759
80 4.5083 1.1625 4.0000 9.6708 1.0967 1.0700 1.1735
85 4.3054 1.1625 4.0000 9.4679 1.0947 1.0700 1.1713
90 4.2180 1.1750 4.0000 9.3930 1.0939 1.0700 1.1705
95 4.1334 1.1750 4.0000 9.3084 1.0931 1.0700 1.1696
100 3.9802 1.1750 4.0000 9.1552 1.0916 1.0700 1.1680
105 4.4448 1.1750 3.5000 9.1198 1.0912 1.0700 1.1676
110 4.3394 1.1750 3.5000 9.0144 1.0901 1.0700 1.1664
115 4.1971 1.1750 3.5000 8.8721 1.0887 1.0700 1.1649
120 4.0667 1.1750 3.5000 8.7417 1.0874 1.0700 1.1635
125 4.0120 1.1875 3.5000 8.6995 1.0870 1.0700 1.1631
130 3.9901 1.1875 3.5000 8.6776 1.0868 1.0700 1.1629
135 3.8822 1.1875 3.5000 8.5697 1.0857 1.0700 1.1617
140 3.7820 1.1875 3.5000 8.4695 1.0847 1.0700 1.1606
145 3.6887 1.1875 3.5000 8.3762 1.0838 1.0700 1.1597
150 3.6016 1.1875 3.5000 8.2891 1.0829 1.0700 1.1587
155 3.5201 1.1875 3.5000 8.2076 1.0821 1.0700 1.1578
160 3.4437 1.1875 3.5000 8.1312 1.0813 1.0700 1.1570
165 3.3720 1.1875 3.5000 8.0595 1.0806 1.0700 1.1562
170 3.3045 1.1875 3.5000 7.9920 1.0799 1.0700 1.1555
175 3.2408 1.1875 3.5000 7.9283 1.0793 1.0700 1.1549
180 3.1807 1.1875 3.5000 7.8682 1.0787 1.0700 1.1542
185 3.1238 1.1875 3.5000 7.8113 1.0781 1.0700 1.1536
190 3.0699 1.1875 3.5000 7.7574 1.0776 1.0700 1.1530
195 3.0188 1.1875 3.5000 7.7063 1.0771 1.0700 1.1525
≥ 200 2.9702 1.1875 3.5000 7.6577 1.0766 1.0700 1.1520
หมายเหตุ 1. กรณีค่างานอยู่ระหว่างช่วงของค่างานต้นทุนที่ก าหนด ให้เทียบอัตราส่วนเพื่อหาค่า Factor F หรือใช้สูตรค านวณ
ึ่
2. ถ้าเป็นงานเงินกหรือจากแหล่งอนซงไม่ต้องช าระภาษีมูลค่าเพิ่ม ให้ใช้ Factor F ในช่อง "รวมในรูป Factor"
ู้
ื่

