Page 115 - Towards_a_New_Malaysia_The_2018_Election_and_Its_6146371_(z-lib.org)
P. 115
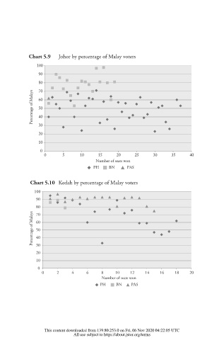
Chart 5.9 Johor by percentage of Malay voters
100
90
80
Percentage of Malays 60
70
50
40
30
20
10
0
0 5 10 15 20 25 30 35 40
Number of seats won
PH BN PAS
Chart 5.10 Kedah by percentage of Malay voters
100
90
80
Percentage of Malays 60
70
50
40
30
20
10
0
0 2 4 6 8 10 12 14 16 18 20
Number of seats won
PH BN PAS
This content downloaded from 139.80.253.0 on Fri, 06 Nov 2020 04:22:05 UTC
All use subject to https://about.jstor.org/terms

