Page 799 - US ACCESSORIES GUIDE (2019)
P. 799
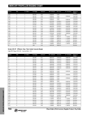
MERCURY PROPELLER RIGGING CHART
Diameter Pitch No. of Blades Boat Weight Boat Speed RH - Part Number Description LH - Part Number Performance
Category
14.22” 18 3 3650-4500 45-54 48-898996A46 Enertia Comp Series
14.45” 17 3 3900-5000 39-49 48-898994A46 Enertia 48-898994A46 Comp Series
14.72” 16 3 4300-5500 37-47 48-898992A46 Enertia Comp Series
15.00” 15 3 4600-6000 35-45 48-898990A46 Enertia 48-898991A46 Comp Series
14.62” 25 4 2500-2800 69-78 48-857032A46 Revolution 4 48-857033A46 Comp Series
14.62” 23 4 2700-3100 63-71 48-857030A46 Revolution 4 48-857031A46 Comp Series
14.62” 21 4 3100-3500 57-64 48-857028A46 Revolution 4 48-857029A46 Comp Series
14.62" 20 4 3250-3750 54-61 48-8M0070052 Revolution 4 48-8M0070051 Comp Series
14.62” 19 4 3400-4000 51-58 48-857026A46 Revolution 4 48-857027A46 Comp Series
14.62" 18 4 3750-4500 45-54 48-8M0137906 Revolution 4 48-8M0137907 Comp Series
14.62” 17 4 3900-5000 39-49 48-857024A46 Revolution 4 48-857025A46 Comp Series
14.62” 15 4 4600-6000 35-45 48-857022A46 Revolution 4 48-8M0064449 Comp Series
14.50” 25 3 2500-2800 69-78 48- 13706A46 Mirage Plus N/A Elite Series
14.63” 23 3 2700-3100 63-71 48- 13704A46 Mirage Plus 48- 13705A46 Elite Series
14.75” 21 3 3100-3500 57-64 48- 13702A46 Mirage Plus 48- 13703A46 Elite Series
15.25” 19 3 3400-4000 51-58 48- 13700A46 Mirage Plus 48- 13701A46 Elite Series
15.5” 17 3 3900-5000 39-49 48- 18278A46 Mirage Plus 48- 90159A46 Elite Series
15.75” 15 3 4600-6000 35-45 48- 19838A46 Mirage Plus 48- 19841A46 Elite Series
16” 13 3 5500+ 25-38 48-826072A46 Mirage Plus Elite Series
Verado 225 HP ‑ Offshore / Bay / Flats Center Console (Single)
Engine RPM Range: 5800‑6400 Gearcase Ratio: 1.85:1
Diameter Pitch No. of Blades Boat Weight Boat Speed RH - Part Number Description LH - Part Number Performance
Category
16” 23 3 2500-2800 63-71 48-8M0040404 Enertia ECO 48-8M0040405 Comp Series
16" 22 3 2650-3000 60-68 48-8M0040408 Enertia ECO 48-8M0040409 Comp Series
16” 21 3 2800-3200 57-64 48-8M0040402 Enertia ECO 48-8M0040403 Comp Series
16" 20 3 2950-3400 54-61 48-8M0040406 Enertia ECO 48-8M0040407 Comp Series
16” 19 3 3100-3600 51-58 48-8M0040400 Enertia ECO 48-8M0040401 Comp Series
16" 18 3 3300-3850 48-55 48-8M0040396 Enertia ECO 48-8M0040397 Comp Series
16” 17 3 3500-4100 45-52 48-8M0040398 Enertia ECO 48-8M0040399 Comp Series
13.45” 22 3 2700-3100 60-68 48-899202A46 Enertia Comp Series
13.63” 21 3 2800-3200 57-64 48-899002A46 Enertia 48-899003A46 Comp Series
13.80” 20 3 2950-3400 54-61 48-899000A46 Enertia Comp Series
14.00” 19 3 3100-3600 51-58 48-898998A46 Enertia 48-898999A46 Comp Series
14.22” 18 3 3300-3850 48-55 48-898996A46 Enertia Comp Series
14.45” 17 3 3500-4100 45-52 48-898994A46 Enertia 48-898994A46 Comp Series
14.72” 16 3 3800-4800 40-49 48-898992A46 Enertia Comp Series
15.00” 15 3 4100-5500 35-45 48-898990A46 Enertia 48-898991A46 Comp Series
14.62” 25 4 2200-2500 69-78 48-857032A46 Revolution 4 48-857033A46 Comp Series
14.62” 23 4 2500-2800 63-71 48-857030A46 Revolution 4 48-857031A46 Comp Series
14.62” 21 4 2800-3200 57-64 48-857028A46 Revolution 4 48-857029A46 Comp Series
14.62" 20 4 2950-3400 54-61 48-8M0070052 Revolution 4 48-8M0070051 Comp Series
14.62” 19 4 4 4 4 3100-3600 51-58 48-857026A46 Revolution 4 48-857027A46 Comp Series
MERCURY PROPELLER RIGGING CHART 786 25 3 3 3 3 3 3 2200-2500 69-78 Place Orders | Print Invoices | Register Product | Pay Online
Comp Series
18
3400-3850
48-8M0137907
Revolution 4
14.62"
48-8M0137906
48-55
48-857025A46
45-52
3500-4100
14.62”
Revolution 4
17
Comp Series
48-857024A46
Revolution 4
35-45
Comp Series
48-857022A46
14.62”
15
4100-5500
48-8M0064449
48- 13706A46
N/A
Elite Series
Mirage Plus
14.50”
Elite Series
Mirage Plus
48- 13704A46
48- 13705A46
2500-2800
63-71
14.63”
23
14.75”
Elite Series
21
2800-3200
Mirage Plus
48- 13703A46
57-64
48- 13702A46
48- 13701A46
51-58
19
3100-3600
Elite Series
Mirage Plus
48- 13700A46
15.25”
Elite Series
15.5”
45-52
48- 90159A46
Mirage Plus
3500-4100
48- 18278A46
17
4100-5500
48- 19838A46
Elite Series
48- 19841A46
Mirage Plus
15.75”
35-45
15

