Page 792 - Quicksilver Product Guide (2020) - 8M0163242
P. 792
COOLING SYSTEM
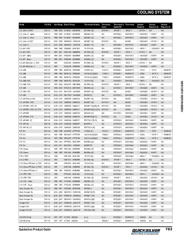
Model CID/ #Cyl Year Range Serial # Range Thermostat Housing Thermostat Thermostat & Thermostat Gaskets Gaskets Gaskets
Cover Gasket Kit Required Required (2) Required (3)
5.7L (Gen +), FWC 350/ V-8 1998 - 2002 0L010037 - 0M599999 861188A 1(6) 807075A 1 99155T 1 99155 1 25-807134 1 N/A N/A
5.7L (Gen +) - Alpha 350/ V-8 1998 - 2002 0L010037 - 0M599999 860256A 3(7) N/A 807252Q 5 8M0109441 27- 53045Q01 27-806871 N/A
5.7L (Gen +) - Bravo 350/ V-8 1998 - 2002 0L010037 - 0M599999 860256A 4(7) N/A 807252Q 5 8M0109441 27- 53045Q01 27-806871 N/A
5.7L (Gen +), FWC 350/ V-8 2002 - 2009 0M600000 - 1A600136 864398T 1(6) 807075A 1 N/A 864493 27- 53045Q01 25-807134 1 N/A
5.7L (Gen +) 350/ V-8 2002 - 2009 0M600000 - 1A600136 864592T 1(7) N/A 807252Q 5 8M0109441 27- 53045Q01 27-806871 N/A
5.7L EFI, FWC 350/ V-8 1995 - 1996 0F225560 - 0K001505 55131A 5(6) N/A 807252Q 5 8M0109441 27- 48818 1 27- 53045Q01 N/A
5.7L EFI, FWC 350/ V-8 1997 - 2001 0K001506 - 0M299999 861188A 1(6) 807075A 1 99155T 1 99155 1 25-807134 1 N/A N/A
5.7L EFI - Alpha 350/ V-8 1995 - 2001 0F355305 - 0M299999 860256A 3(7) N/A 807252Q 5 8M0109441 27- 53045Q01 27-806871 N/A
5.7L EFI - Bravo 350/ V-8 1995 - 2001 0F225560 - 0M299999 860256A 4(7) N/A 807252Q 5 8M0109441 27- 53045Q01 27-806871 N/A
5.7L EFI MIE (Gen +), FWC 350/ V-8 1997 0K040300 - 0K999999 861188A 1(6) 807075A 1 99155T 1 99155 1 25-807134 1 N/A N/A
5.7L EFI MIE (Gen +) 350/ V-8 1997 0K040300 - 0K999999 860256A 4(7) N/A 807252Q 5 8M0109441 27- 53045Q01 27-806871 N/A
5.7L MIE 350/ V-8 1988 - 1995 0B788152 - 0F600999 87290A 4(1) 47441A 1 807252Q 4 8M0089715 27- 41812 27- 47510 27- 53045Q01
5.7L MIE 350/ V-8 1988 - 1995 0B788152 - 0F622099 16413A 9(7)(9)(11) 17494A 1 807252Q 4 8M0089715 25- 30224 27- 33179 2 27- 53045Q01
5.7L MIE 350/ V-8 1988 - 1995 0B788152 - 0F622099 16413A 3(7)(8)(11) 17494A 1 807252Q 4 8M0089715 25- 30224 27- 33179 2 27- 53045Q01
5.7L MIE, FWC 350/ V-8 1988 - 1996 0B788152 - 0K040306 55131A 5(6) N/A 807252Q 5 8M0109441 27- 48818 1 27- 53045Q01 N/A
5.7L MIE, FWC 350/ V-8 1997 - 2002 0K040307 - 0M316999 861188A 1(6) 807075A 1 99155T 1 99155 1 25-807134 1 N/A N/A
5.7L MIE 350/ V-8 1996 - 2002 0F622100 - 0M316999 860256A 4(7) N/A 807252Q 5 8M0109441 27- 53045Q01 27-806871 N/A
5.7L MIE, FWC 350/ V-8 2002 - 2010 0M317000 - 1A092388 864398T 1(6) 807075A 1 N/A 864493 27- 53045Q01 25-807134 1 N/A
5.7L MIE 350/ V-8 2002 - 2010 0M317000 - 1A092388 864592T(7) N/A 807252Q 5 8M0109441 27- 53045Q01 27-806871 N/A MERCURY® MERCRUISER®
5.7L MPI Horizon MIE 350/ V-8 2008 - 2015 1A090000 - 2A455523 864398T 1(6) 807075A 1 N/A 864493 27- 53045Q01 25-807134 1 N/A
5.7L MPI MIE, FWC 350/ V-8 2008 - 2015 1A090000 - 2A455523 864398T 1(6) 807075A 1 N/A 864493 27- 53045Q01 25-807134 1 N/A
5.7L MPI MIE, FWC, EC 350/ V-8 2008 - 2016 1A090000 - 2A455371 864398T 1(6)(16)(18) 807075A 1 N/A 864493 27- 53045Q01 25-807134 1 N/A
5.7L MPI MIE, FWC, EC, DTS 350/ V-8 2008 - 2016 1A090000 - 2A455371 864398T04(6)(17)(18) 807075A 1 N/A 864493 27- 53045Q01 25-807134 1 N/A
5.7L MPI MIE 350/ V-8 2008 - 2015 1A090000 - 2A455523 863457A 2(7) N/A 807252Q 5 8M0109441 27- 53045Q01 27-806871 N/A
5.7L MPI MIE, DTS 350/ V-8 2008 - 2015 1A900000 - 2A455523 864398T04(6)(17) 807075A 1 N/A 864493 27- 53045Q01 25-807134 1 N/A
5.7L MPI MIE, EC 350/ V-8 2008 - 2016 1A900000 - 2A455371 879172A11(7)(18) N/A 807252Q 5 8M0109441 27- 53045Q01 27-806871 N/A
5.7L MPI Ski 350/ V-8 2008 - 2015 1A090000 - 2A455977 863457A 2 N/A 807252Q 5 8M0109441 27- 53045Q01 27-806871 N/A
5.7L MPI Ski, EC 350/ V-8 2008 - 2015 1A900000 - 2A456039 879172A11(18) N/A 807252Q 5 8M0109441 27- 53045Q01 27-806871 N/A
5.7L Ski 350/ V-8 1985 - 1995 0A338553 - 0F775199 87290A 4(1) 47441A 1 807252Q 4 8M0089715 27- 41812 27- 47510 27- 53045Q01
5.7L Ski 350/ V-8 1987 - 1995 0B514627 - 0F775199 16413A 9(2)(9)(11) 17494A 1 807252Q 4 8M0089715 25- 30224 27- 33179 2 27- 53045Q01
5.7L Ski 350/ V-8 1987 - 1995 0B514627 - 0F775199 16413A 3(2)(8)(11) 17494A 1 807252Q 4 8M0089715 25- 30224 27- 33179 2 27- 53045Q01
5.7L Ski 350/ V-8 1996 - 2002 0F775200 - 0M316999 860256A 4(3) N/A 807252Q 5 8M0109441 27- 53045Q01 27-806871 N/A
5.7L Ski 350/ V-8 2002 - 2011 0M317000 - 1A092837 864592T(7) N/A 807252Q 5 8M0109441 27- 53045Q01 27-806871 N/A
5.7LX Alpha 350/ V-8 1995 - 1997 0F601000 - 0K999999 860256A 3(7) N/A 807252Q 5 8M0109441 27- 53045Q01 27-806871 N/A
5.7LX Bravo 350/ V-8 1995 - 1997 0F601000 - 0K999999 860256A 4(7) N/A 807252Q 5 8M0109441 27- 53045Q01 27-806871 N/A
5.7LX, RWC 350/ V-8 1996 0F601000 - 0K001526 55131A 5(6) N/A 807252Q 5 8M0109441 27- 48818 1 27- 53045Q01 N/A
5.7LX, RWC 350/ V-8 1997 0K001527 - 0K999999 861188A 1(6) 807075A 1 99155T 1 99155 1 25-807134 1 N/A N/A
5.7LX Bravo EFI (Gen +), FWC 350/ V-8 1996 0F800300 - 0K001508 55131A 5(6) N/A 807252Q 5 8M0109441 27- 48818 1 27- 53045Q01 N/A
5.7LX Bravo EFI (Gen +), FWC 350/ V-8 1997 0K001509 - 0K999999 861188A 1(6) 807075A 1 99155T 1 99155 1 27- 53045Q01 25-807134 1 N/A
5.7LX Bravo EFI (Gen +) 350/ V-8 1996 - 1997 0F800300 - 0K999999 860256A 4(7) N/A 807252Q 5 8M0109441 27- 53045Q01 27-806871 N/A
5.7LX EFI, FWC 350/ V-8 1996 0F752400 - 0K001505 55131A 5(6) N/A 807252Q 5 8M0109441 27- 48818 1 27- 53045Q01 N/A
5.7LX EFI, FWC 350/ V-8 1997 0K001506 - 0K999999 861188A 1(6) 807075A 1 99155T 1 99155 1 27- 53045Q01 25-807134 1 N/A
5.7LX EFI - Alpha 350/ V-8 1996 - 1997 0F752400 - 0K999999 860256A 3(7) N/A 807252Q 5 8M0109441 27- 53045Q01 27-806871 N/A
5.7LX EFI - Bravo 350/ V-8 1996 - 1997 0F752400 - 0K999999 860256A 4(7) N/A 807252Q 5 8M0109441 27- 53045Q01 27-806871 N/A
Black Scorpion Ski 350/ V-8 1996 - 2001 0F800000 - 0M391599 860256A 4 N/A 807252Q 5 8M0109441 27- 53045Q01 27-806871 N/A
Black Scorpion Ski 350/ V-8 2003 - 2006 0M391600 - 0W690192 864592T02(19) N/A 807252Q 5 8M0109441 27- 53045Q01 27-806871 N/A
Black Scorpion Ski 350/ V-8 2006 - 2007 0W690193 - 0W698432 864592T 1(19) N/A 807252Q 5 8M0109441 27- 53045Q01 27-806871 N/A
Black Scorpion Ski 350/ V-8 2003 - 2007 0M391600 - 0W698432 863457A 2(20) N/A 807252Q 5 8M0109441 27- 53045Q01 27-806871 N/A
Scorpion 350 350/ V-8 2008 - 2015 0W698433 - 2A460164 864592T 1(19) N/A 807252Q 5 8M0109441 27- 53045Q01 27-806871 N/A
Scorpion 350 350/ V-8 2008 - 2015 0W698433 - 2A460164 863457A 2(20) N/A 807252Q 5 8M0109441 27- 53045Q01 27-806871 N/A
Scorpion 350, EC 350/ V-8 2008 - 2015 0W698433 - 2A460148 879172A11(18) N/A 807252Q 5 8M0109441 27- 53045Q01 27-806871 N/A
233 MCM (Ford) 351/ V-8 1975 - 1977 4173000 - 4902304 N.L.A. N.L.A. 807252Q 3 8M0089715 27- 60208Q N/A N/A
233 MIE (Ford) 351/ V-8 1975 - 1977 4173000 - 4902304 N.L.A. 59498A 1 807252Q 3 8M0089715 27- 60208Q N/A N/A
Quicksilver Product Guide 783

