Page 12 - LAPORAN PRASEKOLAH 2021/2022
P. 12
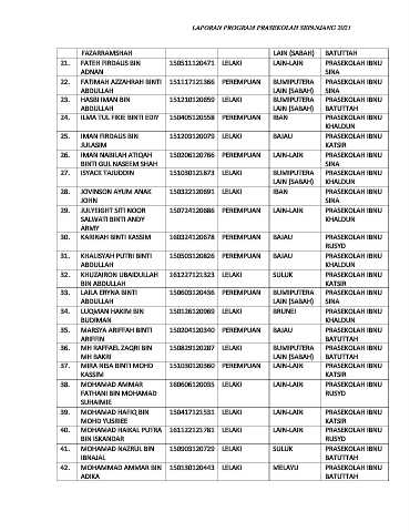
LAPORAN PROGRAM PRASEKOLAH SEPANJANG 2021
FAZARRAMSHAH LAIN (SABAH) BATUTTAH
21. FATEH FIRDAUS BIN 150511120471 LELAKI LAIN-LAIN PRASEKOLAH IBNU
ADNAN SINA
22. FATIMAH AZZAHRAH BINTI 151117121366 PEREMPUAN BUMIPUTERA PRASEKOLAH IBNU
ABDULLAH LAIN (SABAH) SINA
23. HASBI IMAN BIN 151210120659 LELAKI BUMIPUTERA PRASEKOLAH IBNU
ABDULLAH LAIN (SABAH) BATUTTAH
24. ILMA TUL FIKIE BINTI EDIY 150405120558 PEREMPUAN IBAN PRASEKOLAH IBNU
KHALDUN
25. IMAN FIRDAUS BIN 151203120079 LELAKI BAJAU PRASEKOLAH IBNU
JULASIM KATSIR
26. IMAN NABILAH ATIQAH 150206120766 PEREMPUAN LAIN-LAIN PRASEKOLAH IBNU
BINTI GUL NASEEM SHAH SINA
27. ISYACK TAJUDDIN 151030121873 LELAKI BUMIPUTERA PRASEKOLAH IBNU
LAIN (SABAH) KHALDUN
28. JOVINSON AYUM ANAK 150322120691 LELAKI IBAN PRASEKOLAH IBNU
JOHN SINA
29. JULYEIGHT SITI NOOR 150724120686 PEREMPUAN LAIN-LAIN PRASEKOLAH IBNU
SALWATI BINTI ANDY KHALDUN
ARMY
30. KARINAH BINTI KASSIM 160324120678 PEREMPUAN BAJAU PRASEKOLAH IBNU
RUSYD
31. KHALISYAH PUTRI BINTI 150503120826 PEREMPUAN BAJAU PRASEKOLAH IBNU
ABDULLAH KHALDUN
32. KHUZAIRON UBAIDULLAH 161227121323 LELAKI SULUK PRASEKOLAH IBNU
BIN ABDULLAH KATSIR
33. LAILA ERYNA BINTI 150603120436 PEREMPUAN BUMIPUTERA PRASEKOLAH IBNU
ABDULLAH LAIN (SABAH) SINA
34. LUQMAN HAKIM BIN 150126120969 LELAKI BRUNEI PRASEKOLAH IBNU
BUDIMAN KHALDUN
35. MARSYA ARIFFAH BINTI 150204120340 PEREMPUAN BAJAU PRASEKOLAH IBNU
ARIFFIN BATUTTAH
36. MH RAFFAEL ZAQRI BIN 150829120287 LELAKI BUMIPUTERA PRASEKOLAH IBNU
MH BAKRI LAIN (SABAH) BATUTTAH
37. MIRA NISA BINTI MOHD 151030120360 PEREMPUAN LAIN-LAIN PRASEKOLAH IBNU
KASSIM KATSIR
38. MOHAMAD AMMAR 160606120035 LELAKI LAIN-LAIN PRASEKOLAH IBNU
FATHANI BIN MOHAMAD RUSYD
SUHAIMIE
39. MOHAMAD HAFIQ BIN 150417121531 LELAKI LAIN-LAIN PRASEKOLAH IBNU
MOHD YUSRIEE KATSIR
40. MOHAMAD HAIKAL PUTRA 161122121781 LELAKI LAIN-LAIN PRASEKOLAH IBNU
BIN ISKANDAR RUSYD
41. MOHAMAD NAZRUL BIN 150903120729 LELAKI SULUK PRASEKOLAH IBNU
IBNAJAL BATUTTAH
42. MOHAMMAD AMMAR BIN 150130120443 LELAKI MELAYU PRASEKOLAH IBNU
ADIKA BATUTTAH

