Page 16 - LAPORAN PRASEKOLAH 2021/2022
P. 16
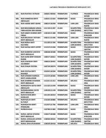
LAPORAN PROGRAM PRASEKOLAH SEPANJANG 2021
107. NUR FHATIHA FATIMAH 160301150030 PEREMPUAN FILIPINOS PRASEKOLAH IBNU
KATSIR
108. NUR HAMISYAH BINTI 150331121020 PEREMPUAN BAJAU PRASEKOLAH IBNU
ABDULLAH BATUTTAH
109. NUR JADIRA BINTI ISMAIL 160624120258 PEREMPUAN LAIN-LAIN PRASEKOLAH IBNU
RUSYD
110. NUR MUHAMMAD MIKAIL 151113121297 LELAKI BUMIPUTERA PRASEKOLAH IBNU
FARHANSYAH BIN ARMAN LAIN (SABAH) BATUTTAH
111. NUR QASEH DHANIA BINTI 150510121288 PEREMPUAN BAJAU PRASEKOLAH IBNU
FAISAL KHALDUN
112. NUR RAUDHAH FATIHAH 160511121406 PEREMPUAN LAIN-LAIN PRASEKOLAH IBNU
BINTI ABDULLAH RUSYD
113. NUR RIZMA BINTI 151105121190 PEREMPUAN BUMIPUTERA PRASEKOLAH IBNU
SULTANG LAIN (SABAH) BATUTTAH
114. NUR SAFIQA BINTI JEFFRY 151224121038 PEREMPUAN BAJAU PRASEKOLAH IBNU
QAYYIM
115. NUR SHARIFAH AREESYA 160628120108 PEREMPUAN BAJAU PRASEKOLAH IBNU
BINTI ABDULLAH RUSYD
116. NUR SURIA BINTI KHAZAR 160617120612 PEREMPUAN BUMIPUTERA PRASEKOLAH IBNU
RUDIN LAIN (SABAH) KATSIR
117. NUR SYAHIDAH BINTI 160823120402 PEREMPUAN BUMIPUTERA PRASEKOLAH IBNU
JULIANSAH LAIN (SABAH) QAYYIM
118. NUR SYALIA SYATIRA 160719120074 PEREMPUAN BUMIPUTERA PRASEKOLAH IBNU
LAIN (SABAH) KATSIR
119. NUR SYATILA BINTI 161002120194 PEREMPUAN BUMIPUTERA PRASEKOLAH IBNU
MAAROF LAIN (SABAH) KATSIR
120. NUR UFAIRAH HAFEEZA 151224120166 PEREMPUAN LAIN-LAIN PRASEKOLAH IBNU
BINTI JUMALUDDIN SINA
121. NUR ZHARINA HUMAIRA 151231121212 PEREMPUAN MELAYU PRASEKOLAH IBNU
BINTI ABDULLAH SINA
122. NURALEESYA SOFEA BINTI 151102121048 PEREMPUAN BAJAU PRASEKOLAH IBNU
ABDULLAH KATSIR
123. NURASMANINA EZATIE 150529121448 PEREMPUAN BUMIPUTERA PRASEKOLAH IBNU
BINTI ABDULLAH LAIN (SABAH) QAYYIM
124. NURFATHIHA BINTI 161105120314 PEREMPUAN BAJAU PRASEKOLAH IBNU
MOSLIADI KATSIR
125. NURFAZILAH BINTI 151010120080 PEREMPUAN MELAYU PRASEKOLAH IBNU
M.YUSUF BATUTTAH
126. NURHIDAYAH BINTI 151207121706 PEREMPUAN LAIN-LAIN PRASEKOLAH IBNU
RYIDDUAN SINA
127. NURSUHADAH 150706121060 PEREMPUAN BAJAU PRASEKOLAH IBNU
SINA
128. NURUL AISYAH SYAKIRA 150327120308 PEREMPUAN BAJAU PRASEKOLAH IBNU
BINTI ABDULLAH KHALDUN
129. NURUL AZWALIZA ASYIKIN 150816120026 PEREMPUAN BUMIPUTERA PRASEKOLAH IBNU
BINTI NARASAHAN LAIN (SABAH) QAYYIM
130. NURUL DHIA SYUHAIRAH 150629120418 PEREMPUAN MELAYU PRASEKOLAH IBNU

