Page 39 - เลขยกกำลง ฮปโป_Neat
P. 39
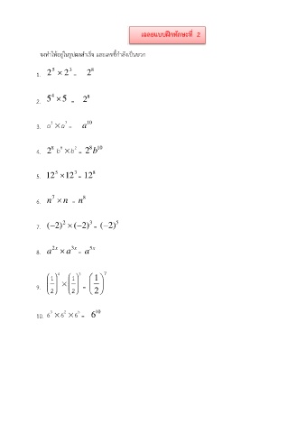
เฉลยแบบฝึกทักษะที่ 2
จงท ำให้อยู่ในรูปผลส ำเร็จ และเลขชี้ก ำลังเป็นบวก
5
1. 2 2 3 = 2 8
4
2. 5 5 = 2 8
10
7
3. a 3 a = a
2
8 10
8
4. 2 b 8 b = 2 b
5. 12 12 = 12
5
3
8
7
6. n n = n
8
2
7. ( ) 2 ( ) 2 3 = ( 2) 5
8. a a = a
x
2
x
3
5x
1 4 1 3 1 7
9. 2 2 = 2
5
10
10. 6 3 6 2 6 = 6

