Page 41 - เลขยกกำลง ฮปโป_Neat
P. 41
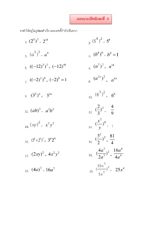
เฉลยแบบฝึกทักษะที่ 4
จงท ำให้อยู่ในรูปผลส ำเร็จ และเลขชี้ก ำลังเป็นบวก
4 2 8
2
5
10
1. 2 ( ) = 2 2. (5 ) = 5
( ) a 3 3 9 (b 8 ) 0 = b
0
3. = a 4. 1
14
5. (( 12 ) 5 ) 2 = ( 12) 10 6. (n 7 ) 2 = n
(( ) 2 2 ) 0 = ( 2) 0 1 (a 2x ) 2 = a
4x
7. 8.
3 2
6
2n
9. 3 ( 2 ) n = 3 10. (6 ) = 6
2 2 4
2 2
11. (ab ) 2 = a b 12. ( 3 ) = 9
( ) xy 2 x y 2 ( x 2 ) 0
2
13. = 14. y = 1
3 2 2 81
6 9
15. 3 ( 2 3 ) 2 3 = 3 2 16. ( 2 ) = 4
4a 3 2 16a 6
2
2
2
17. 2 ( xy ) = 4x y 18. ( 2a 2 ) = 4a 4
10x 5 2
2
4
19. 4 ( ) a 2 = 16a 20. ( 3 ) = 25x
5x

