Page 40 - เลขยกกำลง ฮปโป_Neat
P. 40

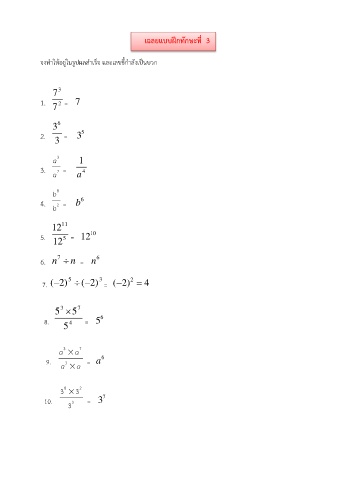
เฉลยแบบฝึกทักษะที่  3


               จงท ำให้อยู่ในรูปผลส ำเร็จ และเลขชี้ก ำลังเป็นบวก




                    7  3
               1.   7 2 =   7



                    3 6
                              5
               2.   3  =    3



                    a 3      1
               3.    7 =      4
                    a       a


                    b 8
                             6
               4.    2 =    b
                    b


                   12  11
                                 10
               5.   12 5 =   12



               6.  n     n =    n
                     7
                                   6
                                          
                7.  (  ) 2  5   (  ) 2  3 =   ( 2)   2  4




                    5    5 7
                      3
                                    6
                  8.    5  4   =   5




                      a 3  a 7
                                     6
                   9.     3     =   a
                      a     a


                      3 8   3 2
                                     7
                  10.     3     =   3
                         3
   35   36   37   38   39   40   41   42   43   44   45