Page 81 - Buku Panduan Pengurusan 2020 SK Bandar Pusat
P. 81
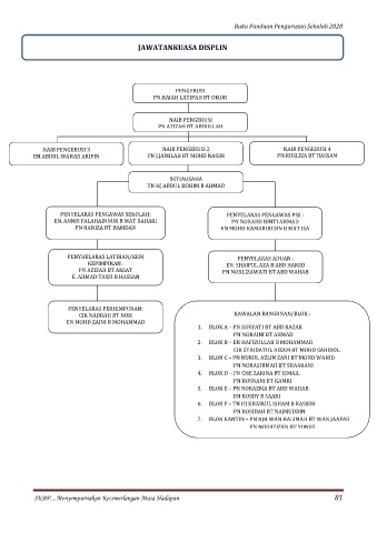
Buku Panduan Pengurusan Sekolah 2020
JAWATANKUASA DISPLIN
PENGERUSI
PN.HAJAH LATIPAH BT OMOR
NAIB PENGERUSI
PN AZIZAH BT ABDULLAH
NAIB PENGERUSI 3 NAIB PENGERUSI 2 NAIB PENGERUSI 4
EN.ABDUL WAHAB ARIPIN PN J.JAMILAH BT MOHD NASIM PN.RUSLIZA BT HASSAN
SETIAUSAHA
TN HJ ABDUL ROHIM B AHMAD
PENYELARAS PENGAWAS SEKOLAH: PENYELARAS PENGAWAS PSS :
EN. ANNIS FALAHAINNUR B MAT BAHARI PN NORAINI BINTI AHMAD
PN HANIZA BT HAMDAN EN MOHD KAMARUDDIN B MAT ISA
PENYHELARAS LATIHAN/KEM PENYELARAS ADUAN :
KEPIMPINAN : EN. SHAIFUL AZA B ABD HAMID
PN AZIZAH BT ARSAT PN NORLIZAWATI BT ABD WAHAB
E. AHMAD TASFI B HASSAN
PENYELARAS PERHIMPUNAN: KAWALAN BANGUNAN/BLOK :
CIK NADRAH BT NOH
EN MOHD ZAINI B MOHAMMAD
1. BLOK A – PN ROSYATI BT ABD RAZAK
PN NORAINI BT AHMAD
2. BLOK B – EN HAFIZULLAH B MOHAMMAD
CIK SYAIDATUL AIZAM BT MOHD SAHIDOL
3. BLOK C – PN NURUL AZLIN ZANI BT MOHD WAHID
PN NORASHIMAH BT SHAARANI
4. BLOK D – PN CHE ZARINA BT ISMAIL
PN ROSNANI BT KAMRI
5. BLOK E – PN NORAZMA BT ABD WAHAB
EN ROSDY B SAARI
6. BLOK F – TN HJ KHAIRUL ISHAM B KASSIM
PN ROSIDAH BT NAJMUDDIN
7. BLOK KANTIN – PN HJH WAN HALIMAH BT WAN JAAFAR
PN NORAZIZAN BT YUNUS
SKBP....Menyempurnakan Kecemerlangan Masa Hadapan 81

