Page 29 - Trigonometry
P. 29
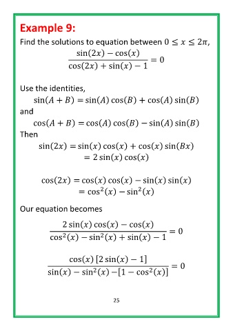
Example 9:
Find the solutions to equation between 0 ≤ ≤ 2 ,
sin(2 ) − cos( )
= 0
cos(2 ) + sin( ) − 1
Use the identities,
sin( + ) = sin( ) cos( ) + cos( ) sin( )
and
cos( + ) = cos( ) cos( ) − sin( ) sin( )
Then
sin(2 ) = sin( ) cos( ) + cos( ) sin( )
= 2 sin( ) cos( )
cos(2 ) = cos( ) cos( ) − sin( ) sin( )
2
2
= cos ( ) − sin ( )
Our equation becomes
2 sin( ) cos( ) − cos( )
= 0
2
2
cos ( ) − sin ( ) + sin( ) − 1
cos( ) [2 sin( ) − 1]
= 0
2
2
sin( ) − sin ( ) −[1 − cos ( )]
25

