Page 21 - เอกสารประกอบการประชุมวิชาการ ศูนย์วิจัยพืชไร่ขอนแก่น ประจำปี 2563 เล่มที่ 1
P. 21
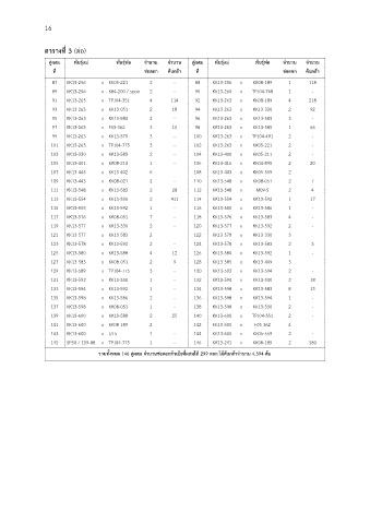
16
ตารางที่ 3 (ต่อ)
คู่ผสม พันธุ์แม่ พันธุ์พ่อ จ านวน จ านวน คู่ผสม พันธุ์แม่ พันธุ์พ่อ จ านวน จ านวน
ที่ ช่อดอก ต้นกล้า ที่ ช่อดอก ต้นกล้า
87 KK13-256 x KK05-221 2 - 88 KK13-256 x KK08-189 1 118
89 KK13-256 x K84-200 / spon 2 - 90 KK13-260 x TPJ04-768 1 -
91 KK13-263 x TPJ04-351 4 114 92 KK13-263 x KK08-189 4 218
93 KK13-263 x KK13-051 2 18 94 KK13-263 x KK13-330 2 92
95 KK13-263 x KK13-584 2 - 96 KK13-263 x KK13-583 3 -
97 KK13-263 x F03-362 3 10 98 KK13-263 x KK13-585 1 66
99 KK13-263 x KK13-579 3 - 100 KK13-263 x TPJ04-491 2 -
101 KK13-263 x TPJ04-775 3 - 102 KK13-263 x KK05-221 2 -
103 KK13-330 x KK13-583 2 - 104 KK13-400 x KK05-211 2 -
105 KK13-401 x KK08-214 1 - 106 KK13-416 x KK04-895 2 20
107 KK13-443 x KK13-402 6 - 108 KK13-443 x KK05-559 2 -
109 KK13-443 x KK08-021 2 - 110 KK13-548 x KK08-051 2 7
111 KK13-548 x KK13-583 2 28 112 KK13-548 x M09-5 2 4
113 KK13-554 x KK13-330 2 411 114 KK13-554 x KK13-592 1 17
115 KK13-555 x KK13-592 1 - 116 KK13-555 x KK13-586 1 -
117 KK13-576 x KK08-051 7 - 118 KK13-576 x KK13-583 4 -
119 KK13-577 x KK13-330 2 - 120 KK13-577 x KK13-592 2 -
121 KK13-577 x KK13-583 2 - 122 KK13-578 x KK13-330 3 -
123 KK13-578 x KK13-592 2 - 124 KK13-578 x KK13-583 2 3
125 KK13-580 x KK13-588 4 12 126 KK13-580 x KK13-592 1 -
127 KK13-583 x KK08-051 2 9 128 KK13-585 x KK13-409 3 -
129 KK13-589 x TPJ04-775 3 - 130 KK13-592 x KK13-594 2 -
131 KK13-592 x KK13-330 1 - 132 KK13-594 x KK13-330 2 18
133 KK13-594 x KK13-592 1 - 134 KK13-598 x KK13-583 8 13
135 KK13-598 x KK13-586 2 - 136 KK13-598 x KK13-594 1 -
137 KK13-598 x KK08-051 1 - 138 KK13-598 x KK13-330 2 -
139 KK13-600 x KK13-588 2 25 140 KK13-600 x TPJ04-351 2 -
141 KK13-600 x KK08-189 2 - 142 KK13-600 x F03-362 4 -
143 KK13-600 x UT5 1 - 144 KK13-600 x KK05-559 2 -
145 SP50 / E99-88 x TPJ04-775 1 - 146 KK13-241 x KK08-189 2 180
้
รวมทั งหมด 146 คู่ผสม จ านวนช่อดอกตัวเมียที่ผสมได 299 ดอก ได้ต้นกล้าจานวน 4,394 ต้น

