Page 20 - เอกสารประกอบการประชุมวิชาการ ศูนย์วิจัยพืชไร่ขอนแก่น ประจำปี 2563 เล่มที่ 1
P. 20
15
ี่
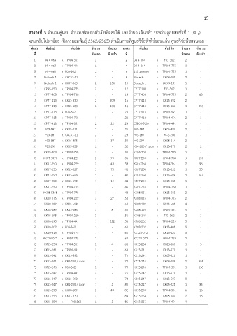
ตารางที่ 3 จ านวนคู่ผสม จานวนช่อดอกตัวเมียทผสมได้ และจ านวนต้นกล้า ระหว่างลูกผสมชั่วที่ 1 (BC )
1
ผสมกลบไปหาอ้อย (ปีการผสมพันธุ์ 2562/2563) ด าเนินการที่ศูนย์วิจัยพืชไร่ขอนแก่น ศูนย์วิจัยพืชสวนเลย
ั
คู่ผสม พันธุ์แม่ พันธุ์พ่อ จ านวน จ านวน คู่ผสม พันธุ์แม่ พันธุ์พ่อ จ านวน จ านวน
ที่ ช่อดอก ต้นกล้า ที่ ช่อดอก ต้นกล้า
1 04-4-064 x TPJ04-351 2 - 2 04-4-064 x F03-362 2 -
3 04-4-064 x TPJ04-491 2 - 4 04-4-064 x TPJ04-775 1 -
5 04-4-064 x F03-362 2 - 6 125 มุกดาหาร x TPJ04-775 1 -
7 Biotech 1 x CAC57-11 2 - 8 Biotech 1 x KK08-091 2 -
9 Biotech 1 x KK07-868 2 150 10 Biotech 1 x IAC49-131 1 -
11 CP45-150 x TPJ04-775 2 - 12 CP77-148 x F03-362 1 -
13 CP77-403 x TPJ04-768 1 - 14 CP77-403 x TPJ04-775 2 63
15 CP77-413 x KK13-330 2 209 16 CP77-413 x KK13-592 2 -
17 CP77-413 x KK13-588 2 100 18 CP77-413 x KK13-584 1 250
19 CP77-413 x F03-362 1 - 20 CP77-413 x TPJ04-491 1 -
21 CP77-413 x TPJ04-768 1 - 22 CP77-418 x TPJ04-491 2 3
23 CP77-418 x TPJ04-351 2 22 24 CSB06-5-20 x TPJ04-491 1 -
25 F03-187 x KK05-211 2 - 26 F03-187 x KK06-897 2 -
27 F03-187 x CAC57-11 2 - 28 F03-187 x 94-2-206 1 -
29 F03-187 x KK06-895 1 37 30 F03-299 x KK08-214 2 -
31 F03-299 x KK05-559 2 - 32 K84-200 / spon x KK13-579 2 2
33 KK05-204 x TPJ04-768 3 - 34 KK05-204 x TPJ04-229 1 -
35 KK07-1097 x TPJ04-229 2 90 36 KK07-250 x TPJ04-768 10 139
37 KK07-250 x TPJ04-229 2 48 38 KK07-250 x TPJ04-351 2 96
39 KK07-250 x KK13-527 3 75 40 KK07-250 x KK13-120 1 55
41 KK07-250 x KK13-563 1 - 42 KK07-250 x KK13-586 1 142
43 KK07-250 x KK13-592 1 19 44 KK07-250 x KK13-588 1 -
45 KK07-250 x TPJ04-715 1 - 46 KK07-253 x TPJ04-768 1 -
47 KK08-0358 x TPJ04-775 1 - 48 KK08-051 x KK13-583 2 -
49 KK08-075 x TPJ04-229 3 27 50 KK08-075 x TPJ04-775 2 -
51 KK08-189 x KK13-592 1 - 52 KK08-189 x KK13-588 4 -
53 KK08-189 x KK13-583 3 8 54 KK08-195 x TPJ04-351 4 -
55 KK08-195 x TPJ04-229 3 - 56 KK08-195 x F03-362 2 3
57 KK08-195 x TPJ04-491 1 222 58 KK08-202 x TPJ04-229 3 -
59 KK08-202 x F03-362 1 - 60 KK08-202 x KK13-401 3 -
61 KK10-315 x TPJ04-775 1 - 62 KK12R-072 x KK13-120 3 -
63 KK12R-072 x TPJ04-775 2 - 64 KK12R-072 x TPJ04-768 2 -
65 KK13-234 x TPJ04-351 2 4 66 KK13-234 x KK08-189 1 3
67 KK13-241 x TPJ04-491 2 - 68 KK13-241 x KK13-579 1 -
69 KK13-241 x KK13-592 1 - 70 KK13-241 x KK05-221 1 -
71 KK13-241 x K84-200 / spon 1 - 72 KK13-246 x KK08-189 2 995
73 KK13-246 x F03-362 2 - 74 KK13-246 x TPJ04-351 1 138
75 KK13-247 x TPJ04-491 2 - 76 KK13-247 x KK13-579 1 -
77 KK13-247 x KK13-592 1 - 78 KK13-247 x KK13-507 3 -
79 KK13-247 x K84-200 / spon 1 2 80 KK13-247 x KK05-221 1 35
81 KK13-253 x KK08-189 2 43 82 KK13-253 x TPJ04-351 6 16
83 KK13-253 x KK13-330 2 - 84 KK13-254 x KK08-189 2 13
85 KK13-254 x F03-362 2 2 86 KK13-256 x TPJ04-491 1 -

