Page 364 - ตำราเคมีอินทรีย์ [Jadsada Ratniyom]
P. 364
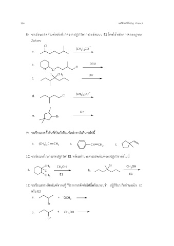
336 เคมีอินทรีย์ (Org. Chem.)
8) จงเขียนผลิตภัณฑ์หลักที่เกิดจากปฏิกิริยาการขจัดแบบ E2 โดยใช้หลักการจากกฎของ
Zaitsev
9) จงเขียนสารตั้งต้นที่เป็นอัลคิลเฮไลด์จากอัลคีนต่อไปนี้
10) จงเขียนกลไกการเกิดปฏิกิริยา E1 พร้อมทำนายสารผลิตภัณฑ์ของปฏิกิริยาต่อไปนี้
11) จงเขียนสารผลิตภัณฑ์จากปฏิกิริยาการขจัดต่อไปนี้พร้อมระบุว่า ปฏิกิริยาเกิดผ่านกลไก E1
หรือ E2

