Page 849 - ตำราเคมีอินทรีย์ [Jadsada Ratniyom]
P. 849

เคมีอินทรีย์ (Org. Chem.)                                                       821


                                               ์
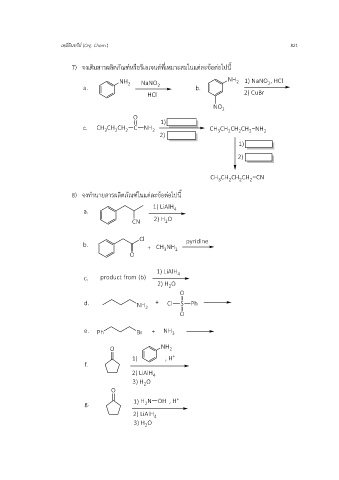
                          7)  จงเติมสารผลิตภัณฑหรือรีเอเจนต์ที่เหมาะสมในแต่ละข้อต่อไปนี้
























                          8)  จงทำนายสารผลิตภัณฑ์ในแต่ละข้อต่อไปนี้
   844   845   846   847   848   849   850   851   852   853   854