Page 845 - ตำราเคมีอินทรีย์ [Jadsada Ratniyom]
P. 845

เคมีอินทรีย์ (Org. Chem.)                                                       817


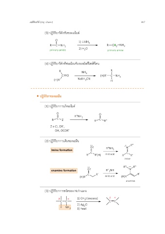
                                      [5] ปฏิกิริยารีดักชันของเอไมด์








                                      [6] ปฏิกิริยารีดักทีฟเอมิเนชันของอัลดีไฮด์คีโตน










                            • ปฏิกิริยาของเอมีน

                                      [1] ปฏิกิริยาการเกิดเอไมด์












                                      [2] ปฏิกิริยาการเติมของเอมีน




















                                      [3] ปฏิกิริยาการขจัดของ Hofmann
   840   841   842   843   844   845   846   847   848   849   850