Page 154 - HOW TO PROVE IT: A Structured Approach, Second Edition
P. 154
P1: PIG/
0521861241c03 CB996/Velleman October 20, 2005 2:42 0 521 86124 1 Char Count= 0
140 Proofs
Because the goal is a disjunction, breaking the proof into cases seems like a
likely approach, but there is no given that suggests what cases to use. However,
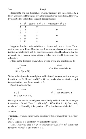
trying out a few values for x suggests the right cases:
2
2
x x 2 quotient of x ÷ 4 remainder of x ÷ 4
1 1 0 1
2 4 1 0
3 9 2 1
4 16 4 0
5 25 6 1
6 36 9 0
It appears that the remainder is 0 when x is even and 1 when x is odd. These
are the cases we will use. Thus, for case 1 we assume x is even and try to prove
that the remainder is 0, and for case 2 we assume x is odd and prove that the
remainder is 1. Because every integer is either even or odd, these cases are
exhaustive.
Filling in the definition of even, here are our givens and goal for case 1:
Givens Goal
2
x ∈ Z x ÷ 4 has remainder 0
∃k ∈ Z(x = 2k)
We immediately use the second given and let k stand for some particular integer
2
2
2
2
for which x = 2k. Then x = (2k) = 4k , so clearly when we divide x by 4
2
the quotient is k and the remainder is 0.
Case 2 is quite similar:
Givens Goal
2
x ∈ Z x ÷ 4 has remainder 1
∃k ∈ Z(x = 2k + 1)
Once again we use the second given immediately and let k stand for an integer
2
2
2
2
forwhich x = 2k + 1.Then x = (2k + 1) = 4k + 4k + 1 = 4(k + k) + 1,
2
2
so when x is divided by 4 the quotient is k + k and the remainder is 1.
Solution
2
Theorem. For every integer x, the remainder when x is divided by 4 is either
0or1.
Proof. Suppose x is an integer. We consider two cases.
2
2
Case 1. x is even. Then x = 2k for some integer k,so x = 4k . Clearly the
2
remainder when x is divided by 4 is 0.

