Page 165 - HOW TO PROVE IT: A Structured Approach, Second Edition
P. 165
P1: PIG/
0521861241c03 CB996/Velleman October 20, 2005 2:42 0 521 86124 1 Char Count= 0
Existence and Uniqueness Proofs 151
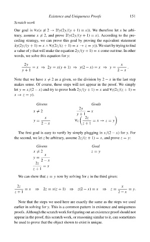
Scratch work
Our goal is ∀x(x = 2 →∃!y(2y/(y + 1) = x)). We therefore let x be arbi-
trary, assume x = 2, and prove ∃!y(2y/(y + 1) = x). According to the pre-
ceding strategy, we can prove this goal by proving the equivalent statement
∃y(2y/(y + 1) = x ∧∀z(2z/(z + 1) = x → z = y)).Westartbytryingtofind
a value of y that will make the equation 2y/(y + 1) = x come out true. In other
words, we solve this equation for y:
2y x
= x ⇒ 2y = x(y + 1) ⇒ y(2 − x) = x ⇒ y = .
y + 1 2 − x
Note that we have x = 2 as a given, so the division by 2 − x in the last step
makes sense. Of course, these steps will not appear in the proof. We simply
let y = x/(2 − x) and try to prove both 2y/(y + 1) = x and ∀z(2z/(z + 1) =
x → z = y).
Givens Goals
2y
x = 2 = x
y + 1
x 2z
y = ∀z = x → z = y
2 − x z + 1
The first goal is easy to verify by simply plugging in x/(2 − x) for y.For
the second, we let z be arbitrary, assume 2z/(z + 1) = x, and prove z = y:
Givens Goal
x = 2 z = y
x
y =
2 − x
2z
= x
z + 1
We can show that z = y now by solving for z in the third given:
2z x
= x ⇒ 2z = x(z + 1) ⇒ z(2 − x) = x ⇒ z = = y.
z + 1 2 − x
Note that the steps we used here are exactly the same as the steps we used
earlier in solving for y. This is a common pattern in existence and uniqueness
proofs. Although the scratch work for figuring out an existence proof should not
appear in the proof, this scratch work, or reasoning similar to it, can sometimes
be used to prove that the object shown to exist is unique.

