Page 344 - HOW TO PROVE IT: A Structured Approach, Second Edition
P. 344
P1: PIG/
0521861241apx01 CB996/Velleman October 20, 2005 2:56 0 521 86124 1 Char Count= 0
330 Appendix 1: Solutions to Selected Exercises
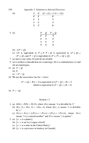
(b) S G (S ∨ G) ∧ (¬S ∨¬G)
F F F
F T T
T F T
T T F
5. (a) P Q P ↓ Q
F F T
F T F
T F F
T T F
(b) ¬(P ∨ Q).
(c) ¬P is equivalent to P ↓ P, P ∨ Q is equivalent to (P ↓ Q) ↓
(P ↓ Q), and P ∧ Q is equivalent to (P ↓ P) ↓ (Q ↓ Q).
7. (a) and (c) are valid; (b) and (d) are invalid.
9. (a) is neither a contradiction nor a tautology; (b) is a contradiction; (c) and
(d) are tautologies.
11. (a) P ∨ Q.
(b) P.
(c) ¬P ∨ Q.
14. We use the associative law for ∧ twice:
[P ∧ (Q ∧ R)] ∧ S is equivalent to [(P ∧ Q) ∧ R] ∧ S
which is equivalent to (P ∧ Q) ∧ (R ∧ S)
16. P ∨¬Q.
Section 1.3
1. (a) D(6) ∧ D(9) ∧ D(15), where D(x) means “x is divisible by 3.”
(b) D(x, 2) ∧ D(x, 3) ∧¬D(x, 4), where D(x, y) means “x is divisible
by y.”
(c) N(x) ∧ N(y) ∧ [(P(x) ∧¬P(y)) ∨ (P(y) ∧¬P(x))], where N(x)
means “x is a natural number” and P(x) means “x is prime.”
3. (a) {x | x is a planet}.
(b) {x | x is an Ivy League school}.
(c) {x | x is a state in the United States}.
(d) {x | x is a province or territory in Canada}.

