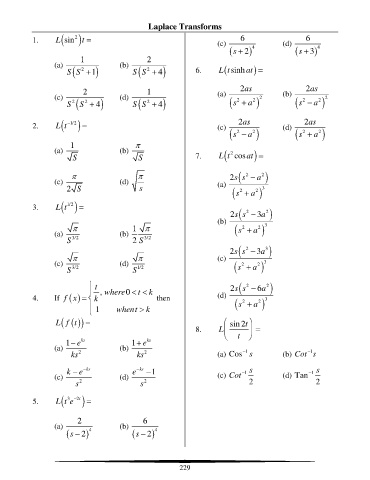
Page 231 - Engineering Mathematics Workbook_Final
P. 231
Laplace Transforms
)
2
1. L (sin t = (c) 6 (d) 6
(s + ) 2 4 (s + ) 3 4
1 2
(a) (b)
( sinhat =
( S S + ) 1 ( S S + ) 4 6. L t )
2
2
2 1 (a) 2as (b) 2as
(c) (d) 2 2 ) 2 2 2 ) 2
2
2
S 2 ( S + ) 4 ( S S + ) 4 ( s + a ( s − a
2. ( L t − 1/2 ) = (c) 2as (d) 2as
2
2
( s − a 2 ) ( s + a 2 )
1
(a) (b) 2 )
( cosat =
S S 7. L t
2s ( s − a 2 )
2
(c) (d) (a)
2 S s 2 2 3
( s + a )
3. L t 1/2
( ) =
2
2s ( s − 3a 2 )
(b)
1 ( s + a 2 ) 3
2
(a) (b)
S 3/2 2 S 3/2
2
2s ( s − 3a 3 )
(c)
(c) (d) 2 a 2 ) 3
S 3/2 S 1/2 ( s +
t 2 2 )
, where 0 t k 2s ( s − 6a
f
4. If ( ) x = k then (d) 3
( s + a 2 )
2
1 whent k
( L f t sin2t
( )) =
8. L t =
−
+
1 e ks 1 e ks
(a) (b) − −
1
1
ks 2 ks 2 (a) Cos s (b) Cot s
k − e − ks e − ks − 1 − 1 s − 1 s
(c) (d) (c) Cot (d) Tan
s 2 s 2 2 2
3 −
5. ( L t e 2t ) =
2 6
(a) (b)
(s − ) 2 4 (s − ) 2 4
229

