Page 156 - PKB DRAF - pengurusan sekolah 2018 TERKINI - Copy
P. 156
PENGURUSAN SEKOLAH 2018 LAMPIRAN
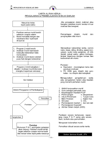
CARTA ALIRAN KERJA :
PENGAJARAN & PEMBELAJARAN DI BILIK DARJAH
Masuk ke kelas Jika pengajaran dalam makmal atau
tepat pada waktu bengkel, pastikan murid beratur di luar
makmal dan bengkel.
1. Pastikan semua murid berdiri
sebelum ucapan salam Pemantapan disiplin murid dan
2. Murid menadah tangan dan penghayatan nilai murni
membaca doa / ayat-ayat
Al-Qur’an
1. Program 2 minit bersih Memastikan kebersihan lantai, cermin
2. Arahkan murid membersih nako, kipas, siling, dinding, papan ken-
kelas jika kebersihan tidak yataan, sudut mata pelajaran, JK bilik
memuaskan. darjah, jadual waktu, giliran bertugas,
3. Arahkan murid duduk setelah langsir digantung dengan kemas dan
puas hati dengan kebersihan kebersihan diri murid.
Peranan :
Program 2 minit kebajikan / a. Kaunselor - menetapkan tema dan
disiplin / motivasi murid (berubah panduan motivasi
mengikut keperluan semasa) b. PK HEM, guru disiplin dan guru
kelas - isu disiplin dan kebajikan
Menggunakan pengetahuan sedia
Set Induksi ada, pengalaman harian atau kaedah
yang menarik perhatian murid
1. Aktiviti berpusatkan murid
Aktiviti Pengajaran & Pembelajaran 2. Guru sebagai pemudah cara
3. Kepelbagaian Kaedah P & P
a. Perbincangan h. Eksperimen
b. Inkuiri Penemuan i. Tunjuk Cara
Pemulihan c. Main Peranan j. Kajian Kes
d. Simulasi k. CAL
e. Pembelajaran masteri l. dan lain-lain
Penilaian f. Pembelajaran Koperatif
g. Akhbar Dalam darjah (ADD)
Penilaian secara berterusan, sepan-
Pengukuhan jang masa P & P sama ada secara
lisan, bertulis atau pemerhatian.
Mengesan kelemahan murid.
Penutup
Rumusan P & P, peringatan pelajaran Pemulihan dibuat secara serta merta.
akan datang. Pastikan murid berdiri
tegak sebelum ucapan terima kasih
dan keluar kelas tepat pada masanya Sektor Jaminan Kualiti, JPN
- 156 -

