Page 157 - PKB DRAF - pengurusan sekolah 2018 TERKINI - Copy
P. 157
PENGURUSAN SEKOLAH 2018 LAMPIRAN
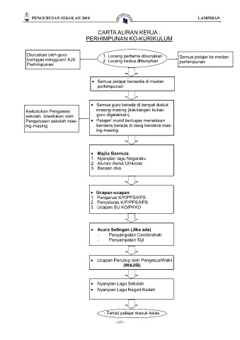
CARTA ALIRAN KERJA :
PERHIMPUNAN KO-KURIKULUM
Diuruskan oleh guru 1. Loceng pertama dibunyikan Semua pelajar ke medan
bertugas mingguan/ AJK 2. Loceng kedua dibunyikan perhimpunan
Perhimpunan
Semua pelajar bersedia di medan
perhimpunan
Semua guru berada di tempat duduk
Kedudukan Pengawas masing-masing (kakitangan bukan
sekolah ditentukan oleh guru digalakkan).
Pengurusan sekolah mas- Pelajar/ murid bertugas menaikkan
ing-masing. bendera berada di tiang bendera mas-
ing-masing.
Majlis Bermula
1. Nyanyian lagu Negaraku
2. Alunan Asma UlHusna
3. Bacaan doa
Ucapan-ucapan
1. Pengerusi K/P/PPS/KPS
2. Penyelaras K/P/PPS/KPS
3. Ucapan SU KO/PKKO
Acara Selingan (Jika ada)
Penyampaian Cenderahati
Penyampaian Sijil
Ucapan Penutup oleh Pengetua/Wakil
(WAJIB)
Nyanyian Lagu Sekolah
Nyanyian Lagu Negeri Kedah
- Tamat pelajar masuk kelas
- 157 -

