Page 166 - PKB DRAF - pengurusan sekolah 2018 TERKINI - Copy
P. 166
PENGURUSAN SEKOLAH 2018 LAMPIRAN
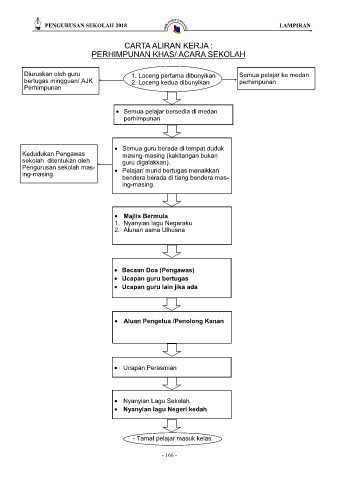
CARTA ALIRAN KERJA :
PERHIMPUNAN KHAS/ ACARA SEKOLAH
Diuruskan oleh guru 1. Loceng pertama dibunyikan Semua pelajar ke medan
bertugas mingguan/ AJK 2. Loceng kedua dibunyikan perhimpunan
Perhimpunan
Semua pelajar bersedia di medan
perhimpunan
Semua guru berada di tempat duduk
Kedudukan Pengawas masing-masing (kakitangan bukan
sekolah ditentukan oleh guru digalakkan).
Pengurusan sekolah mas- Pelajar/ murid bertugas menaikkan
ing-masing.
bendera berada di tiang bendera mas-
ing-masing.
Majlis Bermula
1. Nyanyian lagu Negaraku
2. Alunan asma Ulhusna
Bacaan Doa (Pengawas)
Ucapan guru bertugas
Ucapan guru lain jika ada
Aluan Pengetua /Penolong Kanan
Ucapan Perasmian
Nyanyian Lagu Sekolah
Nyanyian lagu Negeri kedah
- Tamat pelajar masuk kelas
- 166 -

