Page 38 - คู่มือแนวดำเนินงานทะเบียนหลักฐานการจบการศึกษา และการให้บริการทางการศึกษา
P. 38
38
เทียบโอนจะต้องมีเอกสารการศึกษาหรือหลักฐานแสดงผลการเรียนรู้ หรือสถานศึกษาที่รับเข้าเรียนอาจจะ
ประเมินความรู้คว ามสามารถด้วยวิธีการที่หลากหลาย เช่น การพิจารณาจากแฟ้มสะสมผลงาน การทดสอบ
มาตรฐาน การทดสอบทักษะประสบการณ์ หรือการฝึกปฏิบัติจริง เป็นต้น กระทรวงศึกษาธิการได้ก าหนดแนว
การเทียบโอนผลการเรียนไว้ส าหรับสถานศึกษา
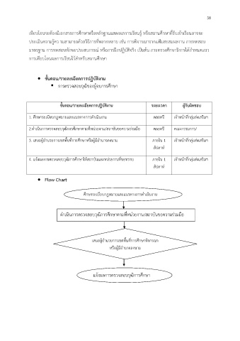
ขั้นตอน/รายละเอียดการปฏิบัติงาน
การตรวจสอบวุฒิของผู้จบการศึกษา
ขั้นตอน/รายละเอียดการปฏิบัติงาน ระยะเวลา ผู้รับผิดชอบ
ี่
1. ศึกษาระเบียบกฎหมายและแนวทางการด าเนินงาน ตลอดปี เจ้าหน้าทกลุ่มส่งเสริมฯ
2.ด าเนินการตรวจสอบวุฒิการศึกษาตามที่หน่วยงาน/สถาบันขอความร่วมมือ ตลอดปี คณะกรรมการ/
ี่
3. เสนอผู้อ านวยการเขตพื้นที่การศึกษาหรือผู้มีอ านาจลงนาม ภายใน 1 เจ้าหน้าทกลุ่มส่งเสริมฯ
สัปดาห์
ี่
4. แจ้งผลการตรวจสอบวุฒิการศึกษาให้สถาบันและหน่วยงานที่ขอทราบ ภายใน 1 เจ้าหน้าทกลุ่มส่งเสริมฯ
สัปดาห์
Flow Chart
ศึกษาระเบียบกฎหมายและแนวทางการด าเนินงาน
ด าเนินการตรวจสอบวุฒิการศึกษาตามที่หน่วยงาน/สถาบันขอความร่วมมือ
เสนอผู้อ านวยการเขตพื้นที่การศึกษาพิจารณา
หรือผู้มีอ านาจลงนาม
แจ้งผลการตรวจสอบวุฒิการศึกษา

