Page 155 - Template Tesis UTM v2.0
P. 155
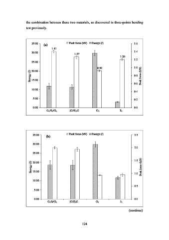
the combination between these two materials, as discovered in three-points bending
test previously.
35.00 (a) Peak force (kN) Energy (J) 1.6
1.41
1.4
30.00
1.27
1.20
1.2
25.00
0.92 1.0
20.00
Energy (J) 0.8 Peak force (kN)
15.00
0.6
10.00
0.4
5.00 0.2
0.00 0.0
G2/B3/G2 [G/B]3G G7 B7
35.00 Peak force (kN) Energy (J) 2.5
(b)
30.00
2.0
25.00
1.5
20.00
Energy (J) 15.00 1.0 Peak force (kN)
10.00
0.5
5.00
0.00 0.0
G2/J3/G2 [G/J] S7 S9
S5 3G G7 J7
S2
(continue)
124

