Page 79 - Past Year
P. 79

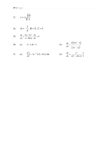
77 | P a g e


                               18
               27.     x   
                                5


                              3
               28.     A      , B   5, C   1
                              4

                       dy   6x  5y 2  dy
               29.                  ;     5
                              
                       dx   4 10xy dx
                                                                                     3
                                                                          dy     2 15x    4
               30.     (a)    A   1,B   3                       (b)        
                                                                          dx            1
                                                                                   3
                                                                               3x     2  2
                                2
                              d y                                         dy       y 2      1
               31.     (a)           3e  3x  22 15 ;66x          (b)                ;
                               dx 2                                       dx   x 1 y  ln x  4
   74   75   76   77   78   79   80   81   82   83   84