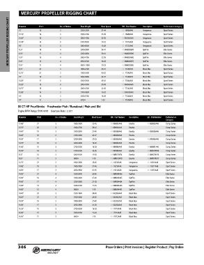
Page 359 - OEM RIGGING AND ACCESSORIES GUIDE (US-2017)
P. 359
MERCURY PROPELLER RIGGING CHART Boat Speed RH - Part Number Description Performance Category
MERCURY PROPELLER RIGGING CHART 13” 18 3 3 3 3 3 4 4 2200-3200 31-44 48- 16988A46 Vengeance Sport Series
No. of Blades
Boat Weight
Diameter
Pitch
25-38
48- 16986A46
16
2500-4100
Vengeance
13.13”
Sport Series
2800-4700
13.25”
Sport Series
15
22-35
48-854354A46
Vengeance
Sport Series
48- 17314A46
19-32
3100-5600
Vengeance
14
13.38”
3900-8500
14”
13-26
48- 17312A46
Sport Series
Vengeance
12
19
2000-2900
SpitFire
Elite Series
12.8”
34-47
48-8M8026600
SpitFire
2300-3600
17
48-8M8026590
12.8”
28-41
Elite Series
12.8”
13
16-29
SpitFire
3500-6700
Elite Series
48-8M8026570
13.8”
4500-11500
13.8”
SpitFire
48-8M8026560
11
Elite Series
10-23
Sport Series
48- 77350A45
45-57
1600-2100
12.5” 15 4 4 4 3 2800-4700 22-35 48-8M8026580 SpitFire Elite Series
23
Black Max
12.75” 21 3 1800-2400 40-52 48- 77348A45 Black Max Sport Series
13” 19 3 2000-2900 34-47 48- 77346A45 Black Max Sport Series
13.25” 17 3 2300-3600 28-41 48- 77344A45 Black Max Sport Series
13.25” 16 3 2500-4100 25-38 48-854360A45 Black Max Sport Series
13.75” 15 3 2800-4700 22-35 48- 77342A45 Black Max Sport Series
13.88” 14 3 3100-5600 19-32 48-854352A45 Black Max Sport Series
14” 13 3 3500-6700 16-29 48- 77340A45 Black Max Sport Series
14” 11 3 4700+ 1-23 48- 77338A45 Black Max Sport Series
90 CT HP FourStroke ‑ Freshwater Fish / Runabout / Fish and Ski
Engine RPM Range: 5000‑6000 Gearcase Ratio: 2.38:1
Diameter Pitch No. of Blades Boat Weight Boat Speed RH - Part Number Description LH - Part Number Performance
Category
13.80” 21 3 1600-2400 32-45 48-899002A46 Enertia 48-899003A46 Comp Series
13.75” 20 3 1800-2700 29-42 48-899000A46 Enertia Comp Series
14.00” 19 3 1900-2900 27-40 48-898998A46 Enertia 48-898999A46 Comp Series
14.20” 18 3 2100-3300 24-37 48-898996A46 Enertia Comp Series
14.50” 17 3 2200-3900 21-35 48-898994A46 Enertia 48-898995A46 Comp Series
14.70” 16 3 2400-4400 19-32 48-898992A46 Enertia Comp Series
15.00” 15 3 2700-5300 16-29 48-898990A46 Enertia 48-898991A46 Comp Series
15.30” 14 3 3100-6100 14-26 48-898988A46 Enertia 48-8M0079504 Comp Series
15.6" 13 3 3300-8100 11-24 48-8M0070074 Enertia 48-8M0070076 Comp Series
16.0" 11 3 6000+ 1-18 48-8M0070079 Enertia 48-8M0070077 Comp Series
13.75” 21 3 1600-2400 32-45 48- 16318A46 Vengeance 48- 16319A46 Sport Series
14.00” 19 3 1900-2900 27-40 48- 16316A46 Vengeance 48- 16317A46 Sport Series
14.50” 17 3 2200-3900 21-35 48- 16314A46 Vengeance 48- 16315A46 Sport Series
14.00” 21 4 1600-2400 32-45 48-8M0084496 SpitFire Elite Series
14.00” 19 4 1900-2900 27-40 48-8M0084495 SpitFire Elite Series
14.00” 17 4 2200-3900 21-35 48-8M0084494 SpitFire Elite Series
14.00” 14 4 3300-8100 11-24 48-8M0084493 SpitFire Elite Series
14.00” 12 4 6000+ 1-18 48-8M0084491 SpitFire Elite Series
14.00” 23 3 1500-1900 38-49 48-832834A45 Black Max Sport Series
14.25” 21 3 1600-2400 32-45 48-832832A45 Black Max Sport Series
14.50” 19 3 1900-2900 27-40 48-832830A45 Black Max Sport Series
15.00” 17 3 2200-3900 21-35 48-832828A45 Black Max Sport Series
15.25” 15 3 2700-5300 16-29 48- 78116A45 Black Max Sport Series
16.00" 13 3 3300-8100 11-24 48- 78114A45 Black Max Sport Series
16.00" 11 3 6000+ 1-18 48- 78112A45 Black Max Sport Series
346 Place Orders | Print Invoices | Register Product | Pay Online

