Page 840 - 40天成为资深设计师-936页
P. 840
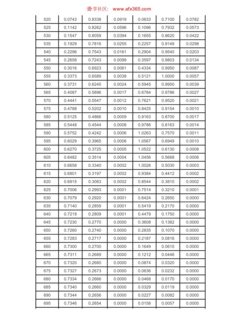
附录1:基本概念(色彩)
ιٳཚഠ XXX BGY DPN 页码,21/25
520 0.0743 0.8338 0.0919 0.0633 0.7100 0.0782
525 0.1142 0.8262 0.0596 0.1096 0.7932 0.0573
530 0.1547 0.8059 0.0394 0.1655 0.8620 0.0422
535 0.1929 0.7816 0.0255 0.2257 0.9149 0.0298
540 0.2296 0.7543 0.0161 0.2904 0.9540 0.0203
545 0.2658 0.7243 0.0099 0.3597 0.9803 0.0134
550 0.3016 0.6923 0.0061 0.4334 0.9950 0.0087
555 0.3373 0.6589 0.0038 0.5121 1.0000 0.0057
560 0.3731 0.6245 0.0024 0.5945 0.9950 0.0039
565 0.4087 0.5896 0.0017 0.6784 0.9786 0.0027
570 0.4441 0.5547 0.0012 0.7621 0.9520 0.0021
575 0.4788 0.5202 0.0010 0.8425 0.9154 0.0010
580 0.5125 0.4866 0.0009 0.9163 0.8700 0.0017
585 0.5448 0.4544 0.0008 0.9786 0.8163 0.0014
590 0.5752 0.4242 0.0006 1.0263 0.7570 0.0011
595 0.6029 0.3965 0.0006 1.0567 0.6949 0.0010
600 0.6270 0.3725 0.0005 1.0522 0.6130 0.0008
605 0.6482 0.3514 0.0004 1.0456 0.5668 0.0006
610 0.6658 0.3340 0.0002 1.0026 0.5030 0.0003
615 0.6801 0.3197 0.0002 0.9384 0.4412 0.0002
620 0.6915 0.3083 0.0002 0.8544 0.3810 0.0002
625 0.7006 0.2993 0.0001 0.7514 0.3210 0.0001
630 0.7079 0.2920 0.0001 0.6424 0.2650 0.0000
635 0.7140 0.2859 0.0001 0.5419 0.2170 0.0000
640 0.7219 0.2809 0.0001 0.4479 0.1750 0.0000
645 0.7230 0.2770 0.0000 0.3608 0.1382 0.0000
650 0.7260 0.2740 0.0000 0.2835 0.1070 0.0000
655 0.7283 0.2717 0.0000 0.2187 0.0816 0.0000
660 0.7300 0.2700 0.0000 0.1649 0.0610 0.0000
665 0.7311 0.2689 0.0000 0.1212 0.0446 0.0000
670 0.7320 0.2680 0.0000 0.0874 0.0320 0.0000
675 0.7327 0.2673 0.0000 0.0636 0.0232 0.0000
680 0.7334 0.2666 0.0000 0.0468 0.0170 0.0000
685 0.7340 0.2660 0.0000 0.0329 0.0119 0.0000
690 0.7344 0.2656 0.0000 0.0227 0.0082 0.0000
695 0.7346 0.2654 0.0000 0.0158 0.0057 0.0000
https://www.antssoft.com/f1.htm 2009-5-9

