Page 691 - ตำราเคมีอินทรีย์ [Jadsada Ratniyom]
P. 691
อัลดีไฮด์และคีโตน 663
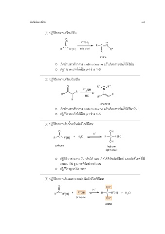
[5] ปฏิกิริยาการเตรียมอิมีน
o เกิดผ่านสารตัวกลาง carbinolamine แล้วเกิดการขจัดน้ำได้อิมีน
o ปฏิกิริยาจะเกิดได้ดีใน pH ช่วง 4–5
[6] ปฏิกิริยาการเตรียมอีนามีน
o เกิดผ่านสารตัวกลาง carbinolamine แล้วเกิดการขจัดน้ำได้อีนามีน
o ปฏิกิริยาจะเกิดได้ดีใน pH ช่วง 4–5
[7] ปฏิกิริยาการเติมน้ำลงในอัลดีไฮด์คีโตน
o ปฏิกิริยาสามารถผันกลับได้ และเกิดได้ดีกับอัลดีไฮด์ และอัลดีไฮด์ที่มี
อะตอม EN สูงเกาะที่อัลฟาคาร์บอน
o ปฏิกิริยาถูกเร่งโดยกรด
[8] ปฏิกิริยาการเติมแอลกอฮอล์ลงในอัลดีไฮด์คีโตน

