Page 31 - Buku Pengurusan KVDSMZ 2021
P. 31
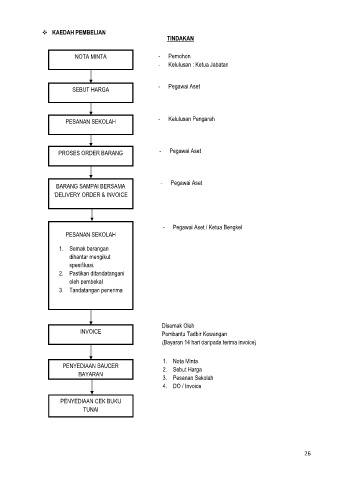
KAEDAH PEMBELIAN
TINDAKAN
NOTA MINTA - Pemohon
- Kelulusan : Ketua Jabatan
SEBUT HARGA - Pegawai Aset
Kelulusan Pengarah
PESANAN SEKOLAH -
PROSES ORDER BARANG - Pegawai Aset
BARANG SAMPAI BERSAMA - Pegawai Aset
‘DELIVERY ORDER & INVOICE
- Pegawai Aset / Ketua Bengkel
PESANAN SEKOLAH
1. Semak barangan
dihantar mengikut
spesifikasi.
2. Pastikan ditandatangani
oleh pembekal
3. Tandatangan penerima
Disemak Oleh
INVOICE Pembantu Tadbir Kewangan
(Bayaran 14 hari daripada terima invoice)
1. Nota Minta
PENYEDIAAN BAUCER
2. Sebut Harga
BAYARAN 3. Pesanan Sekolah
4. DO / Invoice
PENYEDIAAN CEK BUKU
TUNAI
26

