Page 418 - FINAL MANAJEMEN PERUBAHAN 06102016_Neat
P. 418
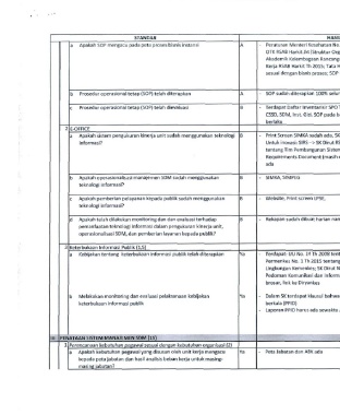
- STANDAR HASIL
A - Peraturan Menteri Kesehatan No.
-
OTK RSAB Harkit Jkt (Struktur Or
a Apakah SOP mengacu pada peta proses bisnis instansi Akademik Kelembagaan Rancang
Kerja RSAB Harkit Th 2015; Tata H
sesuai dengan bisnis proses; SOP
b Prosedur operasional tetap (SOP) telah diterapkan A - SOP sudah diterapkan 100% selur
c Prosedur operasional tetap (SOP) telah dievaluasi B
- Terdapat Daftar Inventarisir SPO T
2 E-OFFICE B CSSD, SDM, Inst. Gizi. SOP pada b
a Apokab sistem pengukuran kinerja unit sudah menggunakan teknologi berlaku
informasi?
- Print Screen SIMKA sudah ada, SK
b Apakahi operasionalisasi nianajemen SDM sudah menggunakan B Untuk inovasi: SIRS -->5K Dirut RS
teknologi informasi? B tentang Tim Pembangunan Sistem
B Requirements Document (masih d
c Apakah pemberian pelayanan kepada publik sudah menggunakan ado
teknologi informasi? Vs
- SIMKA, SIMPEG
d Apakab telah dilakukan monitoring dan dan evaluasi terhadap
pemanfaatan teknologi informasi dalam pengukuran kinerja Unit, - Website, Print screen IPSE,
operasionalisasi SDM, dan pemberian layanan kepada publik?
- Rekapan sudah dibuat harlan nam
3 Keterbukaan Informasi Publik (1,5)
a Kebijakan tentang keterbukaan informasi publik telah diterapkan - Terdapat: UU No. 14Th 2008 tenta
Permenkes No. 1 Th 2015 tentang
b Melakukan monitoring dan evaluasi pelaksanaan kebijakan Va Lingkungan Kemenkes; 5K Dirut N
keterbukaan informasi publik Pedoman Komunikasi dan Informa
brosur, link ke Diryankes
- Dalam 5K terdapat klausul bahwa
berkaa (PP ID)
- Laporan PPID harus ada sewaktu A
III PENATAAN SISTEM MANAJEMEN 5DM (15) Va - Peta Jabatan dan ABK ada
j1 Perencanaan kebutuhan pegawai sesuai dengan kebutuhon organisasi (2) -
a Apakah kebutuhan pegawai yang disusun oleh unit kerja mengacu
kepada pets jabatan dan hasil analisis beban kerja untuk masing-
mating jabatan?

