Page 61 - REPOWER REFERENCE GUIDE (2020)
P. 61
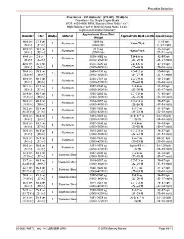
Propeller Selection
Plus Series ‑ 357 Alpha 4V ‑ (275 HP) ‑ V8 Alpha
Propellers ‑ For Single Engine Boats
WOT: 4400–4800 RPM, Standard Gear Ratio 1.47:1
High Altitude (1524 m [5000 ft]) Gear Ratio: 1.62:1
Right‑Hand Rotation Standard
Approximate Gross Boat
Diameter Pitch Blades Material Approximate Boat Length Speed Range
Weight
40.6 cm 27.9 cm 3856 kg 2–43 kph
(16 in.) (11 in.) 3 Aluminum (8500 lb)+ House/Work (1–27 mph)
40.6 cm 30.5 cm 3 Aluminum 3175 kg House/Work 35–50 kph
(16 in.) (12 in.) (7000 lb)+ (22–31 mph)
40.6 cm 33 cm 3039–4082 kg 7.9–8.8 m 42–55 kph
(16 in.) (13 in.) 3 Aluminum (6700–9000 lb) (26–29 ft) (26–34 mph)
40.6 cm 35.6 cm 3 Aluminum 2676–3629 kg 7.6–8.5 m 47–61 kph
(16 in.) (14 in.) (5900–8000 lb) (25–28 ft) (29–38 mph)
39.4 cm 38.1 cm 2449–3130 kg 7.3–8.2 m 53–66 kph
(15.5 in.) (15 in.) 3 Aluminum (5400–6900 lb) (24–27 ft) (33–41 mph)
40.6 cm 40.6 cm 2268–2767 kg 7.3–7.9 m 60–71 kph
(16 in.) (16 in.) 3 Aluminum (5000–6100 lb) (24–26 ft) (37–44 mph)
38.1 cm 43.2 cm 3 Aluminum 2087–2540 kg 7–7.6 m 64–76 kph
(15 in.) (17 in.) (4600–5600 lb) (23–25 ft) (40–47 mph)
39.4 cm 45.7 cm 1950–2268 kg 6.7–7.6 m 71–80 kph
(15.5 in.) (18 in.) 3 Aluminum (4300–5000 lb) (22–25 ft) (44–50 mph)
36.8 cm 48.3 cm 3 Aluminum 1814–2087 kg 6.7–7.3 m 76–87 kph
(14.5 in.) (19 in.) (4000–4600 lb) (22–24 ft) (47–54 mph)
36.2 cm 55.3 cm 1588–1905 kg 6.4–7 m 84–97 kph
(14.25 in.) (21 in.) 3 Aluminum (3500–4200 lb) (21–23 ft) (52–60 mph)
35.6 cm 58.4 cm 1451–1678 kg Up to 6.7 m 93–105 kph
(14 in.) (23 in.) 3 Aluminum (3200–3700 lb) (22 ft) (58–65 mph)
35.6 cm 43.2 cm 4 Aluminum 2087–2540 kg 7–7.6 m 64–76 kph
(14 in.) (17 in.) (4600–5600 lb) (23–25 ft) (40–47 mph)
35.6 cm 48.3 cm 1814–2087 kg 6.7–7.3 m 76–87 kph
(14 in.) (19 in.) 4 Aluminum (4000–4600 lb) (22–24 ft) (47–54 mph)
35.6 cm 55.3 cm 4 Aluminum 1588–1905 kg 6.4–7 m 84–97 kph
(14 in.) (21 in.) (3500–4200 lb) (21–23 ft) (52–60 mph)
35.6 cm 58.4 cm 4 Aluminum 1451–1678 kg Up to 6.7 m 93–105 kph
(14 in.) (23 in.) (3200–3700 lb) (22 ft) (58–65 mph)
34.3 cm 43.2 cm 2087–2540 kg 7–7.6 m 64–76 kph
(13.5 in.) (17 in.) 5 Stainless Steel (4600–5600 lb) (23–25 ft) (40–47 mph)
33.7 cm 48.3 cm 5 Stainless Steel 1814–2087 kg 6.7–7.3 m 76–87 kph
(13.25 in.) (19 in.) (4000–4600 lb) (22–24 ft) (47–54 mph)
33.7 cm 55.3 cm 1588–1905 kg 6.4–7 m 84–97 kph
(13.25 in.) (21 in.) 5 Stainless Steel (3500–4200 lb) (21–23 ft) (52–60 mph)
36.8 cm 43.2 cm 3 Stainless Steel 2087–2540 kg 7–7.6 m 64–76 kph
(14.5 in.) (17 in.) (4600–5600 lb) (23–25 ft) (40–47 mph)
35.6 cm 48.3 cm 3 Stainless Steel 1814–2087 kg 6.7–7.3 m 76–87 kph
(14 in.) (19 in.) (4000–4600 lb) (22–24 ft) (47–54 mph)
34.9 cm 55.3 cm 1588–1905 kg 6.4–7 m 84–97 kph
(13.75 in.) (21 in.) 3 Stainless Steel (3500–4200 lb) (21–23 ft) (52–60 mph)
34.3 cm 58.4 cm 3 Stainless Steel 1451–1678 kg Up to 6.7 m 93–105 kph
(13.5 in.) (23 in.) (3200–3700 lb) (22 ft) (58–65 mph)
90-8M0149179 eng NOVEMBER 2018 © 2019 Mercury Marine Page 4B-13

