Page 62 - REPOWER REFERENCE GUIDE (2020)
P. 62
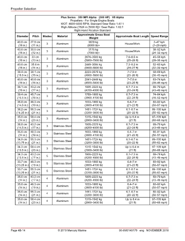
Propeller Selection
Plus Series ‑ 350 MPI Alpha ‑ (300 HP) ‑ V8 Alpha
Propellers ‑ For Single Engine Boats
WOT: 4600–5000 RPM, Standard Gear Ratio 1.47:1
High Altitude (1524 m [5000 ft])+ Gear Ratio: 1.62:1
Right‑Hand Rotation Standard
Approximate Gross Boat
Diameter Pitch Blades Material Approximate Boat Length Speed Range
Weight
40.6 cm 27.9 cm 3629 kg 2–47 kph
(16 in.) (11 in.) 3 Aluminum (8000 lb)+ House/Work (1–29 mph)
40.6 cm 30.5 cm 3 Aluminum 3175 kg House/Work 39–52 kph
(16 in.) (12 in.) (7000 lb)+ (24–32 mph)
40.6 cm 33 cm 2676–3583 kg 7.6–8.5 m 45–58 kph
(16 in.) (13 in.) 3 Aluminum (5900–7900 lb) (25–28 ft) (28–36 mph)
40.6 cm 35.6 m 3 Aluminum 2449–3084 kg 7.3–8.2 m 52–63 kph
(16 in.) (14 in.) (5400–6800 lb) (24–27 ft) (32–39 mph)
39.4 cm 38.1 cm 2223–2676 kg 7–7.9 m 58–69 kph
(15.5 in.) (15 in.) 3 Aluminum (4900–5900 lb) (23–26 ft) (36–43 mph)
40.6 cm 40.6 cm 2041–2449 kg 7–7.6 m 63–74 kph
(16 in.) (16 in.) 3 Aluminum (4500–5400 lb) (23–25 ft) (39–46 mph)
38.1 cm 43.2 cm 3 Aluminum 1905–2223 kg 6.7–7.3 m 69–79 kph
(15 in.) (17 in.) (4200–4900 lb) (22–24 ft) (43–49 mph)
39.4 cm 45.7 cm 1769–1860 kg 6.7–7.3 m 74–84 kph
(15.5 in.) (18 in.) 3 Aluminum (3900–4100 lb) (22–24 ft) (46–52 mph)
36.8 cm 48.3 cm 3 Aluminum 1633–1860 kg 6.4–7 m 80–92 kph
(14.5 in.) (19 in.) (3600–4100 lb) (21–23 ft) (50–57 mph)
36.2 cm 55.3 cm 1451–1724 kg 6.1–6.7 m 89–100 kph
(14.25 in.) (21 in.) 3 Aluminum (3200–3800 lb) (20–22 ft) (55–62 mph)
35.6 cm 58.4 cm 1315–1542 kg Up to 6.4 m 97–109 kph
(14 in.) (23 in.) 3 Aluminum (2900–3400 lb) (21 ft) (60–68 mph)
36.8 cm 43.2 cm 3 Stainless Steel 1905–2223 kg 6.7–7.3 m 69–79 kph
(14.5 in.) (17 in.) (4200–4900 lb) (22–24 ft) (43–49 mph)
35.6 cm 48.3 cm 1633–1860 kg 6.4–7 m 80–91 kph
(14 in.) (19 in.) 3 Stainless Steel (3600–4100 lb) (21–23 ft) (50–57 mph)
34.9 cm 55.3 cm 3 Stainless Steel 1451–1724 kg 6.1–6.7 m 89–100 kph
(13.75 in.) (21 in.) (3200–3800 lb) (20–22 ft) (55–62 mph)
34.3 cm 58.4 cm 1315–1542 kg Up to 6.4 m 97–109 kph
(13.5 in.) (23 in.) 3 Stainless Steel (2900–3400 lb) (21 ft) (60–68 mph)
34.3 cm 43.2 cm 1905–2223 kg 6.7–7.3 m 69–79 kph
(13.5 in.) (17 in.) 5 Stainless Steel (4200–4900 lb) (22–24 ft) (43–49 mph)
33.7 cm 48.3 cm 5 Stainless Steel 1633–1860 kg 6.4–7 m 80–92 kph
(13.25 in.) (19 in.) (3600–4100 lb) (21–23 ft) (50–57 mph)
33.7 cm 55.3 cm 1451–1724 kg 6.1–6.7 m 89–100 kph
(13.25 in.) (21 in.) 5 Stainless Steel (3200–3800 lb) (20–22 ft) (55–62 mph)
35.6 cm 43.2 cm 4 Aluminum 1905–2223 kg 6.7–7.3 m 69–79 kph
(14 in.) (17 in.) (4200–4900 lb) (22–24 ft) (43–49 mph)
35.6 cm 48.3 cm 4 Aluminum 1633–1860 kg 6.4–7 m 80–92 kph
(14 in.) (19 in.) (3600–4100 lb) (21–23 ft) (50–57 mph)
35.6 cm 55.3 cm 1451–1724 kg 6.1–6.7 m 80–92 kph
(14 in.) (21 in.) 4 Aluminum (3200–3800 lb) (20–22 ft) (50–57 mph)
35.6 cm 58.4 cm 4 Aluminum 1315–1542 kg Up to 6.4 m 97–109 kph
(14 in.) (23 in.) (2900–3400 lb) (21 ft) (60–68 mph)
Page 4B-14 © 2019 Mercury Marine 90-8M0149179 eng NOVEMBER 2018

