Page 741 - ตำราเคมีอินทรีย์ [Jadsada Ratniyom]
P. 741
เคมีอินทรีย์ (Org. Chem.) 713
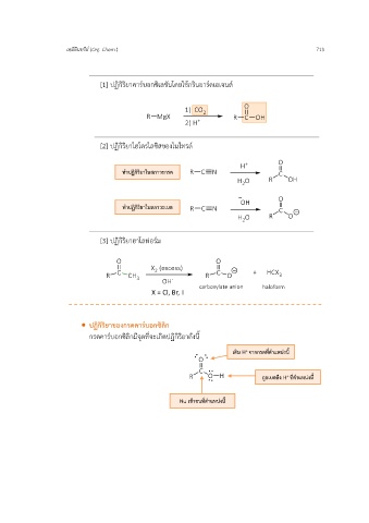
[1] ปฏิกิริยาคาร์บอกซิเลชันโดยใช้กรินยาร์ดเอเจนต์
[2] ปฏิกิริยาไฮโดรไลซิสของไนไทรล์
ทำปฏิกิริยาในสภาวะกรด
ทำปฏิกิริยาในสภาวะเบส
[3] ปฏิกิริยาฮาโลฟอร์ม
• ปฏิกิริยาของกรดคาร์บอกซิลิก
กรดคาร์บอกซิลิกมีจุดที่จะเกิดปฏิกิริยาดังนี้
เติม H จากกรดที่ตำแหน่งนี้
+
ถูกเบสดึง H ที่ตำแหน่งนี้
+
Nu เข้าชนที่ตำแหน่งนี้

