Page 94 - MODUL PP PENGGAL 2
P. 94
MODUL PENGAJIAN PERNIAGAAN 946
5. Dengan menggunakan gambar rajah, huraikan perkaitan antara kaedah kawalan dengan peringkat dalam proses pengeluaran. [20]
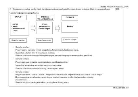
Gambar rajah proses pengeluaran
INPUT PROSES OUTPUT
TRANSFORMAS
I
- buruh proses
- mesin pemasangan kereta
- bahan mentah kereta output
- tayar
-
Kawalan awalan Kawalan semasa Kawalan selepas
Kawalan awalan
Pengawalan ke atas input seperti tenaga kerja, bahan mentah, kaedah dan mesin.
Dijalankan sebelum aktiviti pengeluaran bermula.
Kawalan dibuat untuk mengelakkan pemesongan; memastikan pengeluaran mengikut spesifikasi.
Kawalan semasa
Pengawalan pada peringkat proses penukaran input kepada output.
Memasang, mencantum, menggred, mengawet, mengadun.
Kawalan dibuat untuk menyisih barang cacat daripada proses.
Kawalan selepas
Pengawalan dibuat setelah aktiviti pengeluaran tamat/setelah output dikeluarkan /kawalan ke atas output
Menyemak output, membanding output dengan standard membuat pembetulan/pembaikan terhadap
produk/proses.
Kawalan ini dibuat untukt pembaikan / pembetulan terhadap proses
MUKA SURAT 233

