Page 29 - MODUL PP PENGGAL 2
P. 29
MODUL PENGAJIAN PERNIAGAAN 946
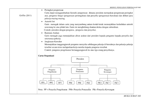
Peringkat pengurusan
Carta dapat menggambarkan hierarki pengurusan dimana presiden merupakan pengurusan peringkat
Griffin (2011) atas, pengurus fungsi (pengurusan pertengahan) dan penyelia (pengurusan bawahan) dan diikuti para
pekerja masing-masing.
Autoriti lini
Garis menegak dalam carta yang menyambung antara kotak-kotak menunjukkan kedudukan autoriti
seseorang ke atas pihak lain. Garis ini menghubung diantara ketua dengan subordinat.
Contoh: presiden dengan pengurus, pengurus dan penyelia).
Rantaian Arahan
Garis menegak juga menunjukkan aliran arahan dari presiden kepada pengurus kepada penyelia dan
seterusnya pekerja.
Jangkauan Kawalan
Menunjukkan tanggungjawab pengurus menyelia sebilangan pekerja di bawahnya dan pekerja-pekerja
tersebut secara terus melaporkan kerja mereka kepada pengurus tersebut.
Contoh: pengurus pengeluaran bertanggungjawab ke atas tiga orang penyelianya.
Carta Organisasi
Presiden
Pengurus Pengurus Pengurus
Pengeluaran Pemasaran Kewangan
PP1 PP2 PP3 PM PM PM PK1 PK2 PK3
1 2 3
Nota: PP = Penyelia Pengeluaran PM= Penyelia Pemasaran PK= Penyelia Kewangan
MUKA SURAT 168

