Page 17 - การจัดการเรียนรู้บูรณาการ ด้วยวิธีทางวิทยาศาสตร์ ระดับมัธยมศึกษาตอนต้น
P. 17

การจัดการเรียนรู้บูรณาการด้วยวิธีการทางวิทยาศาสตร์ เล่ม 2  9












































































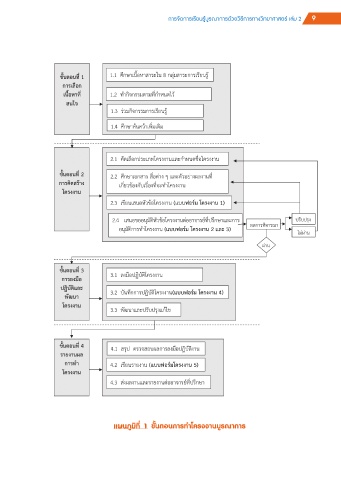
                                    แผนภูมิที่ 1 ขั้นตอนการทำโครงงานบูรณาการ
   12   13   14   15   16   17   18   19   20   21   22