Page 338 - ตำราเคมีอินทรีย์ [Jadsada Ratniyom]
P. 338

310                                                                เคมีอินทรีย์ (Org. Chem.)


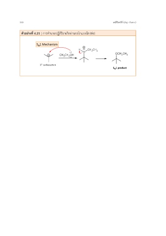
                ตัวอย่างที่ 6.21 | การทำนายปฏิกิริยาเกิดผ่านกลไกแบบใด (ต่อ)
   333   334   335   336   337   338   339   340   341   342   343